

— 主导产品 —
全国免费客服电话 15111351988 邮箱:sale@ljpump.net
手机:18507312158
电话:15111351988
地址:湖南省长沙市芙蓉北路长湘工业园
发布时间:2020/4/15 11:55:54 人气: [content:visits]
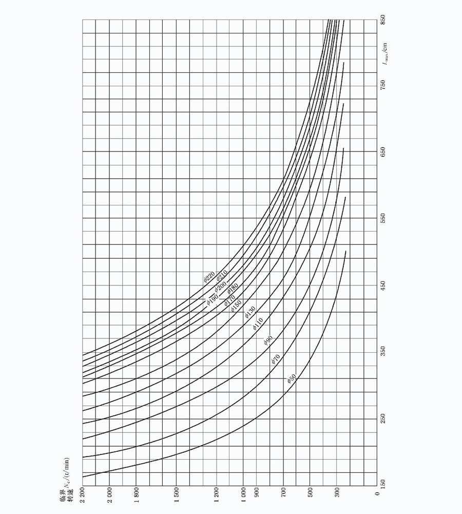
立式长轴泵最大轴承跨距及临界转速曲线图:HLB、HLBK、HLKT、HLBS、HLKS等长轴泵,立式长轴泵,长轴斜流泵,立式斜流泵最大轴承跨距及临界转速曲线图,仅供参考,以实物为准!

上一篇:立式长轴泵装配技术要求
下一篇:立式长轴泵最小淹没深度曲线图
相关推荐